
轴承套圈车削加工检验项目与方法
对于不同类型轴承的套圈毛坯,尽管其直径系列和外形尺寸不同,但是车削加工后的检验项目及检验方法基本相同。轴承套圈车削加工的...

对于不同类型轴承的套圈毛坯,尽管其直径系列和外形尺寸不同,但是车削加工后的检验项目及检验方法基本相同。轴承套圈车削加工的...
轴承套圈滚道是轴承的工件表面,它的质量好坏将直接影响轴承的工作性能和使用寿命。在使用过程中,我们也会经常发现轴承套圈表面...
轴承套圈是滚动轴承的重要零件,其重量一般约占轴承总重量的60~70% ,套圈毛坯有锻件、冷挤件、温挤件、管料和棒料等,其...

对于轴承套的加工工序来说,我们常见的就有两种方法:一种是集中工序,另一种是分散工序,为了让轴承套圈更好的进行加工,东莞凌...

对于轴承套的加工工序来说,我们常见的就有两种方法:一种是集中工序,另一种是分散工序,为了让轴承套圈更好的进行加工,东莞凌...
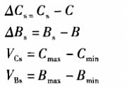
众所周知,轴承套圈淬火胀大是由于淬火前珠光体与淬火后马氏体组织的比容差造成的。钢热处理时除组织转变外还产生热应力和组织应...

当时也是轴承经过运行不到200个小时,轴承就损坏了,当时进行拆套后也是发现轴承外圈、保持架均完好无损坏,但...

当时也是轴承经过运行不到200个小时,轴承就损坏了,当时进行拆套后也是发现轴承外圈、保持架均完好无损坏,但...
轴承套圈是组成轴承的重要零件,其作用也是非常的重要,由于滚动轴承的品种繁多,使得不同类型轴承的套圈尺寸、结构、制造使用的...

轴承套圈常见的问题就是断裂,在这里中华轴承网总结出轴承套圈断裂可以从两方面进行分析,一种是缺陷断裂,另一种是使用断裂,缺...

对于轴承套的加工工序来说,我们常见的就有两种方法:一种是集中工序,另一种是分散工序,为了让轴承套圈更好的进行加工,中华轴...

对于轴承套的加工工序来说,我们常见的就有两种方法:一种是集中工序,另一种是分散工序,为了让轴承套圈更好的进行加工,中华轴...

某型号轴承套圈在初磨后酸洗时发现滚道有白斑出现,轴承材料为G13Cr4Mo4Ni4V高温渗碳轴承钢,该材料主要用于航空发...

轴承套圈磨加工工序是采用高速旋转的砂轮作为工具,与旋转的工件表面接触,在磨削力的作用下,切除工件表面金属,形成新的表面的...
轴承套圈滚动表面(对我公司而言是沟道)最后一道工序是超精加工,其主要作用改善滚动表面质量,提高滚动表面几何精度和降低表面...
在轴上安装轴承内圈时,一般都由轴肩在一面固定轴承的位置,而另一面则用螺母、止动垫圈或弹簧档圈等固定。轴肩和轴向固定零件与...
一、中心偏移法 1、 对进口轴承套圈内、外径的挽救 首先对零件存在的各缺陷处(不对称型)尺寸进行准确测量,计...
虽然进口轴承类型众多,其结构型式、公差等级、材料选用、加工方法存在差异,但其基本制造过程均包含以下内容: 1、进口轴...
1.工作中心不固定 磨削过程中工件的定位由砂轮、导轮和托板确定,工件的中心位置随着工件的运动,在径向平面内是不固定的...
一、中心偏移法 1、 对轴承套圈内、外径的挽救 首先对零件存在的各缺陷处(不对称型)尺寸进行准确测量,计算出...
最新评论